引言
将循环水泵改为变频运行,与工频运行状态相比,工作扬程有一定的下降,所以可能会有部分胶球停留在凝汽器毛细管中,使胶球回收率有所下降,影响运行效率。为此,将胶球清洗装置的状态引入循环水控制系统,自动根据胶球回收情况提升循环水管网压力,避免流速下降带来的不利影响,从而保证胶球清洗的回收率。
1 导语
以闭式循环冷却机组为例,循环水系统的主要作用是冷却汽机低压缸排气温度,降低低压缸排气压力,使得主蒸汽在通过汽轮机时最大限度的释放能量做功转化为汽轮机旋转的机械能用于驱动发电机发电。循环水泵的作用是将冷却水压入凝汽器中与作过功的过热蒸汽进行热交换,降低汽轮机末端排压。吸收热量的循环水被输送至冷却塔后喷淋,经逆流自然通风冷却后循环使用。具体的系统结构原理如图1所示。

长期以来,大多数机组的循环水系统采用开停泵方式运行。根据季节不同,气温差异开启一台或两台循环水泵。由于机组凝汽器密封、机组效率、季节性温差等原因,往往是为了保证机组安全运行,通常存在循环水系统开一台流量不够,开两台流量过大的情况,夏季运行流量却不足等现象。这就无法保证机组的长期经济性稳定运行,而且一直以来没有合理的控制和调节手段,无法实现循环泵的功耗跟随机组负荷调整,循环泵能耗居高不下。
如何实现对凝汽器真空的控制,实现循环水系统的经济、可靠运行,降低循环水系统在机组低负荷下的能耗水平,成为一个重要的研究课题。随着机组密封技术和运行效率评价体系的完善,高压变频调速技术的成熟和广泛应用,使得采用自动运行方式控制凝汽器真空实现机组的经济运行成为可能。
在循环水系统中采用高压变频调速技术,根据机组负荷大小、不同季节的环境温度变化等因素,合理控制循环水流量维持凝汽器排汽压力的最佳真空度,主要可以在以下几个方面取到良好的效果:
(1) 提高机组运行效率,降低煤耗水平;
(2) 降低循环水泵单耗,节约大量电能;
(3) 降低冷却塔循环水蒸发量损失;
(4) 避免冬季冷却塔回水温度过低,结冰等问题。
2 系统分析
通过对循环水系统的设备及运行工艺分析,结合高压变频技术在循环水系统中应用可能预见和产生的影响,进行针对性的分析论证。
2.1 循环水泵调速
在循环水泵上应用变频调速技术,主要是用于机组在额定负荷以下运行时,循环泵运行参数向下调整的需要。即:运行频率在≤50hz范围内调整。从图2可以看出:只要管网工作压力h高于管网静压值hst,在保证最低流量的情况下即可安全运行。当流量需求降低循环泵转速随之降低,根据流体力学相似定律,压力也会下降。从而,带来冷却水管网及其辅助工业冷却水等子系统的运行变化。

通过对循环泵、管网特性曲线和机组流量需求情况分析可知:在机组180~300mw负荷调整区间,循环泵的流量调整空间有限;且转速下降时流量降低,压力降低幅值不大,不会产生较大影响。系统能够接受循环泵在一定的范围内实现调速方式运行。
2.2 凝汽器真空度及最有利真空的实现
真空度是指凝汽器的真空值与当地大气压的比值的百分数,也就是我们控制循环水系统的直接影响变量,是影响发电机组经济效益的重要参数。由于二次蒸汽在凝汽器中与冷却水进行热交换凝结成水时,由气态转变为液态,体积迅速变化,这就在凝汽器内形成高度真空,同时在汽轮机的排汽口建立并保持高度真空,使进入汽轮机的蒸汽能膨胀到尽可能低的压力,提高了蒸汽对汽轮机的做功能力。即:增大了机组的理想比焓降,提高汽轮机的工作效率。目前,凝汽器真空主要依靠调节冷却水流量来控制。其热交换过程如图3所示。

由汽轮机的工作原理可知,运行中的凝汽器压力pz主要取决于汽机负荷dz、冷却水入口温度ts2和冷却水量ds,冷却水温能够降低的最低温度主要取决于自然环境温度t0。在汽机负荷一定的情况下,只有通过增加冷却水的流量来提高凝汽器的真空度,但真空度并不是越高越好,在提高真空度使汽轮机效率(δn1)提高的同时,循环水泵的运行电耗(δn2)也将大幅提高。所以汽轮机正常工作时存在一个与机组负荷对应的最佳运行压力,使δn1与δn2的差值最大,即最佳真空度,如图4所示。

在实际的工程应用中,采用汽轮机效率(δn1)和循环水泵的运行电耗(δn2)达到最佳经济性运行的实现方法上,很难通过函数运算和过程控制的方式来达到机组最佳经济效果。通常采用汽轮机在出厂时确定的最佳背压范围来作为控制的目标,从而改善机组运行工艺参数,实现凝汽器压力随机组负荷变化,经济性运行。因此,在循环泵中采用变频调速技术实现最佳控制,就需要提出更新的控制策略,而采用热力动态平衡理论,则有助于系统优化控制的实现。
2.3 凝结水的过冷却度问题
凝结水过冷会产生不可逆的汽源损失,是一项影响经济性的小指标。正常运行时,凝汽器过冷度一般为0.5~2℃。凝汽器过冷却度每升高1℃,热耗增加0.014%,过高会导致煤耗水平增加。导致凝结水过冷的因素也很多,其中循环水的流量及入口温度对凝结水的过冷具有明显影响。需要在系统的调节过程中考虑此问题,使得机组综合经济指标取得最佳。
2.4 冷却塔蒸发水量损失与冬季结冰问题
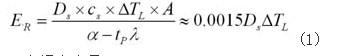
火电厂是主要的用水大户,其中冷却塔中的冷却水损失是电厂水资源损失的主要源头之一。它包括蒸发损失,风吹损失和排污损失;而占75%以上的蒸发损失主要与循环水的流量及冷却塔出入口温度端差密切相关。在北方由于夏冬两季的温差较大,所以夏冬季冷却塔中蒸发热量所占的比值也有很大变化;夏季约为100%,而冬季约为50%。蒸发损失水量及风吹损失水量的计算公式如下:
蒸发损失水量:

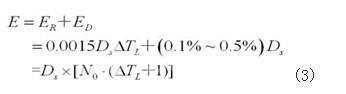
风吹损失水量:ed=(0.1%~0.5%)ds (2)
式中:
ds—循环水量;
cs—水的比热容,常温下,1kg水每升高1℃需要4.1868kj/(kg.℃);
δtl—冷却塔冷却水出口与进口温度之差;
α—水在tp温度下的蒸发潜热;
tp—循环水平均温度;
a—蒸发散热量占冷却塔全部发散出热量的比值。
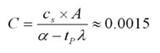
由公式(1)可知:当环境温度t0确定的情况下,水的比热容cs、蒸发潜热α、循环水平均温度tp、蒸发散热量占冷却塔全部发散出热量的比值a等参数也相应的确定下来。在常温20℃下,查表计算可得出:
系数。假设公式(2)中的(0.1%~0.5%)为一常数,那么,(0.1%~0.5%)+c仍为一常数值。在此,假定该值为一个与环境温度有关的常数为n0。
由公式(1)+(2)可得冷却塔的主要损失水量,并根据上述假定推算:

由上式(3)可以看出:在一定的环境温度下,冷却塔的主要水量损失主要取决于循环水流量ds及冷却水出入口温度端差δtl。也就是说,合理控制冷却塔循环水流量ds及冷却水出入口温度端差δtl能够有效降低冷却塔水量损失。在循环水变频控制系统满足凝汽器真空的前提下,实现系统节水运行。
另外,在北方冬季由于气候寒冷,环境温度接近0℃时,常常会出现冷却塔局部结冰现象。在冷却塔的进风口结成冰帘从而减小进风面积,导致进风量下降,影响冷却塔的运行效果。在冷却塔内部甚至会造成填料塌落,塔体内混凝土由于多次冻融而影响使用寿命。为了避免在冬季气温较低时出现结冰现象,在循环水系统的控制中增加防冻控制子系统;控制凝汽器的回水温度,可有效避免在冷却塔蒸发降温后出现结冰的现象。
3 系统控制方案
该控制策略采用多参量计算、单一量平衡算法,通过改变循环泵流量控制凝汽器真空,同时将能量守恒定律和热力学传导理论引入到循环水系统的控制策略当中。从而,使得循环泵的流量控制不再以单纯的凝汽器真空作为控制目标。将机组负荷变化对凝汽器真空的不同要求,冷却循环水的运行端差,环境温度等参数作为主调节回路的综合调节指标。在满足机组运行对凝汽器真空要求的同时,降低凝结水过冷度,把冷却循环水的运行端差控制在合理范围内。从而,起到降低机组煤耗和冷却塔蒸发水量损失的系统综合经济性。
为了保证机组在不同负荷下经济、安全运行,机组在设计和运行中有一条负荷与排气压力的关系曲线。在原有的运行模式下,循环水系统依靠开停方式调节,经济性无法保证,只能通过循环水维持凝汽器真空尽可能低值运行,该曲线主要用于机组保护。在循环水控制应用中,将该曲线作为调节的参考量,进行保守值控制。如图5所示。

通过热力学传导理论可知:进行热交换过程并非是温度差值越大越好,也不是流量越多越好,而是将温度端差控制在4.5~6.5℃范围内,实现5℃左右的出入口端差调节对于热交换系统才是最经济的。温度差值大,系统热交换效能下降,交换介质流量过高,运行成本增加,但是并不能带来更好的效果。在保证凝汽器真空的同时,根据季节差异调节循环水流量,将出入口端差控制在4.5~6.5℃范围。
考虑到夏天气温高,机组满负荷时需求量大,可以通过变频技术发挥循环泵的潜在空间充分提高系统经济性指标;冬季气温低,容易导致凝结水过冷、冷却塔结冰等因素,可以充分利用变频的调节范围宽、响应速度快等特性满足低负荷运行需要。在控制策略的设计中,取接近算法,以真空指标为主,兼顾辅助控制指标,从而使系统在调节过程中具备了多样性和灵活性,避免调节过程波动大,真空指标不稳,影响机组运行安全和机组效率。
4 结束语
将循环水泵改为变频运行,与工频运行状态相比,工作扬程有一定的下降,所以可能会有部分胶球停留在凝汽器毛细管中,使胶球回收率有所下降,影响运行效率。为此,将胶球清洗装置的状态引入循环水控制系统,自动根据胶球回收情况提升循环水管网压力,避免流速下降带来的不利影响,从而保证胶球清洗的回收率。
该系统的使用解决了循环泵长期以来没有调节手段和控制理论基础,无法实现循环水系统节能高效运行的现状。在目前的循环水系统中采用变频节能优化运行系统,能够优化机组经济运行,体现良好的机组节能降耗经济效益,充分发挥了高压变频调速技术在电厂主辅机设备中节能降耗的主导作用。
京公网安备 11011202001138号
