一般泵/风机负载转矩与速度的平方成正比,轴功率与转速的立方成正比。因此,用变频器改变其转速,可以获得显著的节能效果。常用出口挡板控制,当开度减小时,阻力增加,不适宜打范围调节流量,在低速区域轴功率减少不多,从节能的角度来看是不适宜的。若采用入口单板控制,虽然比出口挡板控制流量调节范围广,减小开度是轴功率大体与流量成比例下降,但节能效果仍不及变频调速。图1至图3可以说明泵/风机变频调速的节能原理。


图1中,N1为泵/风机的H-Q特性曲线;曲线1为泵/风机在给定转速下满负荷即系统阀门全开时的扬程(压头)、流量点和效率点的轨迹;曲线2为部分负荷好似,系统阀门部分开时的阻力特性曲线,即泵/风机要克服摩擦,压力随流量的平方而变化。泵/风机运行工况是泵/风机的特性曲线与管路阻力曲线的交点,当用阀门控制时,由于要减小流量,就要关小阀门,使阀门的摩擦阻力变大,阻力曲线从1移到2,扬程则从H1移到H2,流量从Q1减小到Q2,运行工况点从C1移到C2。
从图1可以看出,流量虽然减小,扬程(压头)却反而增加,轴功率P比调节前减小不多。若采用变频调速,随着转速下降,扬程(压头)—流量特性变为图2中的曲线1,系统工况点也由C1、变到C2、,代表轴功率的面积比采用挡板调节时明显减小,两者之差即为节省的轴功率,也就是图3中的矩形C2H2C2、H2、的面积。
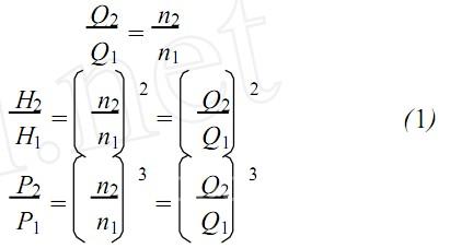
有泵/风机的相似律可知,当改变电机转速以改变风机转速时,如果保持效率bubiaze流量Q,扬程(压头)H,功率P与转速n存在如下关系

流量变化时的功率变化及节电率建表1所示。

从表1可以看出,随着流量变化,采用变频调速,功率下降显著;同时,扬程(压头)下降,噪音将大大降低。
京公网安备 11011202001138号
