摘 要:中国联合水泥集团某1000t/d特种水泥熟料生产线高温风机原设计使用液力偶合器进行工艺调速,为充分利用高压变频器优越的调速节能特性,再挖节能潜力,公司实施了淘汰原液力偶合器、新增高压变频器调速的设备改造,节能效果显著。
关键词:高压变频器 液力偶合器 高温风机 节能
1、 引言
中国联合水泥集团下属某水泥有限公司1000t/d特种水泥熟料生产线,核心生产设备为∮3×48m五级旋风预热器窑外分解回转窑,主要产品为硫铝酸盐特种水泥及相关工程材料,由于受当时电气设备制造技术、性能价格比的限制及设计思想的影响,窑尾高温风机设计采用液力偶合器调速方式,近几年随着电力电气技术的发展,高压变频技术的日益成熟,其优越的调速节能节电特性得到更大范围发挥,应用推广工作正在各相关行业快速推进,在其产生巨大节能节电效益后,高压变频器成为国家水泥节能设计规范标准要求的设备,我国在2007年10月25日颁布、2008年5月1日起执行的强制性标准《GB50443-2007水泥工厂节能设计规范》中的第4.3.5条明确规定:“窑尾高温风机应采用变频调速装置。”第5.2.3条明确规定:“有调速要求的电动机应采用变频调速装置。”因此2011年8月份,公司淘汰了原液力偶合器,新增高压变频器调速的节能改造方案。
2、原设备概况
公司现场高温风机机组的主要参数如下:
2.1高温风机铭牌参数
型号:W6-2-29-1 NO19.5 最高使用介质密度:1.4kg/m3 温度:450℃ 进口流量(风量):170000m3/h 轴功率556kW 全压(风压): 8400Pa 主轴转速:1450rpm
2.2电机铭牌参数
电机型号:Y500-4 额定功率:630kW 额定电压:10000V 额定电流:43.3A
额定转速:1490rpm 功率因数:0.885 额定频率:50Hz 接线方法:Y 绝缘等级:F
3 、改造前液力偶合器工作简述
液力偶合器又称液力联轴器,是以液体为工作介质,利用液体的动能的变化来传递能量的叶片式传动机械。液力偶合器由泵轮、涡轮、转动外壳、导流管等组成。液力偶合器有以下工作特点:
优点:液力偶合器属于机械调速,调速方法简单,初投资低,容易实施。
缺点:
(1)液力偶合器在调节过程中存在滑差损失,由于滑差功率都是以发热的形式消耗,然后通过冷却水冷却后白白浪费掉,机械效率比较低。
(2)由于用油用水,现场油路水路管道布置复杂,尤其是现场漏油渗油现象普遍。
(3)与变频调速方式相比,液力偶合器调速的精度还比较差,对于对设备转速要求较严的场合,液力偶合器调速无法满足机组的运行要求。同时,液力偶合器在负载低转速时,电机的功率因数也不如变频调速。
液力偶合器在高压变频器技术成熟前,在水泥行业窑尾高温风机调速场合,应用十分广泛,属于一段时期内的主流设计配置,但液力偶合器调速毕竟属于有滑差损失的低效调速方式,因此上世纪90年代迅速发展起来并在近几年成熟的高压变频调速技术正得到大面积推广与应用。
4、高压变频调速系统简介
4.1变频原理及高压变频特点
异步电动机的变频调速是通过改变定子供电频率f来改变同步转速而实现调速的,在调速中从高速到低速都可以保持较小的转差率,因而消耗转差功率小,效率高,是异步电动机最为合理的调速方法。目前,变频调速已成为异步电动机最主要的调速方式,在很多领域都获得了广泛的应用。
高压变频调速具有如下显著的优点:
(1)高效节能:含变压器在内的整机效率在96%以上,高于原液力偶合器,可减少由负载档板或阀门调节方式导致的节流损失。
(2)提高功率因数:目前单元级联式的高压变频器,其输入电流谐波含量小于国家标准的限制要求,功率因数可保证在0.95以上,与采用液力偶合器、转子串阻等调速方式相比,输入功率因数大大提高,无需投资功率补偿设备,并可降低有关的设备投资与维护费用。
(3)软启、软停:减少对电网和负载的冲击,延长电机等设备的使用寿命。采用变频调速后,可以实现软起动和软制动,几乎不产生冲击,正常运行时又大多低于电机额定转速,可大大延长电机定子、转子轴及轴承等电气与机械寿命。
(4)节能效果明显。
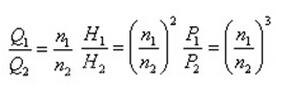
对离心式风机而言,流体力学有以下原理:输出风量Q与转速n成正比;输出压力H与转速n的平方成正比;输出轴功率P与转速n的立方成正比;即:

风机特性如图1所示。风机工作在A点时,其功率为PA=H1×Q1/102;风机工作在B点时,其功率为PB=H2×Q2/102。因Q2 H1,故PA与为PB的值变化较大,说明采用变工频工作方式时,改变风机的风量,风机的轴功率减小很大,节能效果显著。

图1 风机特性曲线图
当风机风量需要改变时,如调节风门的开度,则会使大量电能白白消耗在阀门及管路系统阻力上。如采用变频调速调节风量,可使轴功率随流量的减小大幅度下降,加上自身功效高于液力偶合器,综合节能节电效果会更优。可见,通过变频对风机进行改造,可以实现节能,且节能空间可观。
4.2高压变频调速系统结构及高压主回路方案
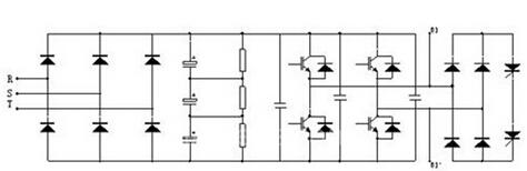
这次改造公司选用了山东新风光电子公司生产的风光牌JD-BP38-800F高压变频调速系统,采用直接“高-高”变换方式,属电压源型,可直接10kV输入,直接10kV输出, 电流谐波小,输入功率因数高,输出波形质量好,不存在谐波引起的电机附加发热和转矩脉动、噪音、输出dv/dt、共模电压等问题,不必加输出滤波器,就可以使用普通的异步电机。
风光高压变频器,采用若干个低压逆变器功率单元串联的方式实现直接高压输出,单元电路模块化设计,维护简单,互换性好,高压主回路与控制器之间为光纤连接,强弱电隔离,安全可靠,该10kV高压变频器,变压器有24组付边绕组,分为8个功率单元∕相,三相共24个单元,采用36脉冲整流,输入端的谐波成分远低于国标规定,高压变频器系统结构如图2所示,单元电路的主电路如图3所示。

图2 高压变频器系统结构图

图3 单元电路主电路
高温风机电机的高压主回路方案如图4所示:

图4 控制方案接线图
K0 原高压电机配电系统高压断路器
K1、K2和K3 新增高压变频器旁路开关柜
BPQ JD-BP38-800F高压变频器
M 高压电动机
变频器控制高温风机为一拖一控制,旁路开关柜用于工/变频切换。K1,K2和K3为三个高压隔离开关,要求K2和K3不能同时闭合,在机械上实现互锁。K3断开,K1和K2闭合,风机可以变频运行;K1和K2断开,K3闭合,风机可以工频运行。
本高压变频器采用风冷装置,只对变频器的出风处加装隔热的通风管道,将热风直接排出室外,降低柜体内的微环境温度,确保功率器件的管芯温度在允许值以下。未对变频器房间设置空调设备,只增加房间换气轴流风机一台。
-BP38-800F高压变频器主要性能指标及常见问题处理
(1)主要性能指标
变频器功率:800kW 额定输出电流:50A 输入频率:50Hz±5Hz 额定输入电压:10kV 允许电压波动:±20% 输入功率因数:≥0.98 输出频率范围:0-50Hz 输出电压范围:0-10kV 频率分辨率:0.01Hz 加速时间:0~3600s 减速时间:0~3600s 变频器效率:≥96% 过载能力:100%连续 160%连续1min 防护等级:IP20 保护功能:单元旁路功能、单元过压保护、单元欠压保护、过流保护、过载保护、变频器过热保护、缺相保护等。
(2)常见问题的处理
风光牌JD-BP38-800F高压变频器具有高度的智能化水平和完善的故障检测电路 并能对所有故障提供精确的定位,在人机界面或工控机界面上作出明确的指示。用户根据显示的故障信息,分别采取相应的处理措施。
为保证设备的可靠性,使设备最大程度不间断运行。系统发生下列故障时,按照一般故障处理:变压器轻度过热,柜门连锁故障,单元柜风机故障,工控机故障。对于一般故障的发生,系统不作记忆处理。在停机状态下,如果存在这类故障,用户还能进行启动等操作。
系统发生下列故障时,按照重故障处理:单元重故障,变压器严重过热,以上重故障发生后,系统作记忆处理。故障一旦发生,系统报警并自动跳闸停机。只有故障彻底排除后,才能重新开机。
5、改造项目实施及运行情况
2011年8月1日,公司与山东新风光电子科技发展有限公司正式签定变频器的供货合同和技术协议,根据现场空间情况及生产形势,在原来系统还在正常运行时,提前将高压变频器柜体及功率单元等部件运抵现场并进行本体组合安装,安装完毕后,在高压变频器输入侧通入220V普通交流电,用示波器对各功率单元输出波形进行测试与对比,初步验证安装联线质量与器件性能;8月底在停窑检修项目改造对接期间,将原液力偶合器拆除,高压电动机与高温风机直连对接,连接外围控制线及与DCS接口,引入10kV主电源,输出侧连接高压电机定子,做好高压通电试机准备,按步骤对高压变频器进行空载、带载运行调试,做好调试运行记录。
(1)变频器具有多项保护功能,十分完善,与原来旧系统相比较,变频器具有过流、短路、缺相保护等多项保护功能,能更精确地保护电机,运行稳定,安全可靠。特别指出的是,一次进厂10kV线路B相断相故障及全厂突然跳闸停电,并没有对变频器造成损害,说明产品具有比较高的可靠性。
(2)可根据生产现场的实际工况,通过DCS系统给定变频器调节信号,灵活调整高温风机转速,调节精度高于原来液力耦合器方式,达到工艺需要及节能节电目的。
(3)减少了维护费用。由于对于高压电机实现真正意义上软启动、软停止,所以对电机、风机等各种设备以及电网的启动冲击大大减少,减少了设备维护费用,延长了设备的使用寿命,大大降低了维护成本。
(4)节能节电效果显著,大大降低了高温风机电耗。为了对高温风机系统变频改造后的效果进行评价,在系统改造前、原使用液力偶合器调速时,就对正常工作日用电量进行数据统计与分析,记录好电源电压、电机电流及系统压力等参数,改造为高压变频调速后再对设备实际使用和节电情况进行了测定和数据分析,我们认为采用高压变频调速后与原使用液力偶合器调速相比(改造前后窑况相同,窑尾预热器C1筒出口负压4500Pa左右,高温风机转速全天稳定在1170rpm左右时)节电率大约在15%左右,每天节电1200kW·h左右,一年按照300天运行时间计算,年节约用电36万kW·h,每kW·h电价按0.70元,年创直接经济效益25.2万元。
6、结束语
山东新风光电子科技发展有限公司生产的JD-BP38-800F高压变频器在特种水泥生产线高温风机上的改造是成功的,它不仅满足了回转窑煅烧硫铝酸盐特种水泥生产工艺的要求,节能效果显著,而且性能稳定,运行可靠。随着电气电力技术的发展,相信不久的将来,高压变频器技术应用会越来越广阔。
京公网安备 11011202001138号
