一、概述
玉溪新兴钢铁有限公司是昆钢集团实施省倍增计划,充分利用玉溪地区的资源优势在红塔区易地扩建的钢铁联合企业。公司于2005年3月15日建成投产,主要产品有:方矩形连铸坯、板坯、热轧带肋钢筋、中宽带等,产品畅销云南、四川、重庆、广东等市场。玉钢在国家不断完善市场经济体制、加快改革开放和西部大开发的大好形势下,抓住机遇,加速发展,广泛吸收国内外优秀钢铁企业的成功经验,优化工艺结构,大力推进技术进步、节能降耗、清洁生产等工作,使钢铁产品结构更趋合理,市场竞争力显著增强,在现代化、集约化、高效化的工业进程中实现了质的飞跃,为实现企业可持续发展、为玉溪地区节能环保事业和经济发展做出了较大的贡献。
二、生产工艺流程
中宽带作业区采用三段梁式加热炉,送风量靠进风阀调节,鼓风机设计为一用一备,24小时运行。
在正常生产加热冷钢坏时,鼓风机进风阀开度为70~80%,送风压力保持在4.5kPa左右,确保炉膛加热温度。
在加热热钢坏时鼓风机进风阀开度为50~60%,送风压力保持在4.5kPa左右,在加热炉保温时送风量需求更少,进风阀开度再相应减小,送风压力保持在4.2kPa左右。
煤气排烟和空气排烟风量靠进风阀调节。在正常生产加热冷钢坏时,煤气排烟风机空气排烟进风阀开度为70~85%,在正常生产加热热钢坏时,煤气排烟风机空气排烟风机进风阀开度为50~60%,在加热炉保温时,则两台风机进风阀开度则为30%。
空气排烟风机煤气排烟风机进风阀开度根据轧钢速度轧钢大小做调整保证炉膛内温度的均恒,两者的排烟温度控制在100℃以内,超180℃报警,加热炉风机工艺简图如下:

三、改造方案
三段梁式加热炉鼓风机、煤气引风机、空气引风机,因电机和风机选型是以加热炉最大生产能力来选配的,由于实际生产能力没有达到最大生产能力长期以来均通过调节闸门、增加管网流体阻力的方法来实现流量控制,故系统效率低、功耗大、电能浪费严重。
由于生产正常时要求持续、稳定的供风,因此风量、风压变化不大,此时可通过变频器对风机转速的调节消除节流损失,同时提高风机的运行效率,虽然由于电动机负载率的下降会使其运行效率降低,但因风机运行功率的下降幅度很大,电动机的损耗也有所减少,最终使电动机运行功率大幅度下降,从而达到节电的目的。
1、 变速调速原理:
按照电机学的基本原理,电机的转速原理满足如下关系式:
n=(1-s)60f/p
式中:P-电机极对数
F-电机运行频率
S-转差
从式中看出,电机的同步转速N1正比于电机的运行频率N,由于转差S一般情况下比较小<0.05,电机的实际转速N约等于电机的同步转速N1,所以调节了电机的供电频率F,就能改变电机的实际转速。
而改变频率必须改变供电电压,由交流电机成产的电磁关系式:
E=4.44fwØ
式中:E-电机电动势
f-定子频率
w-绕组系数
Ø-气隙主磁通
对异频电机调速时,希望主磁通Ø恒定,就u/f曲线保持恒定,所以改变频率时,供电电压也跟着变化。
2 、风机调速节电原理:
由于风机内部流体的复杂性,单凭理论不能精确算出它们的性能。只能依靠流体力学中的相似理论,通过实验和模拟手段来计算风机的运行工况。把相似定律应用于不同转速运行的同一台风机时,就可得到下式:
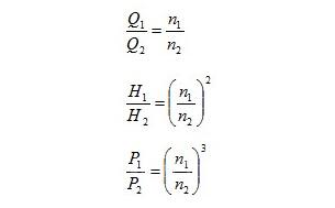
当改变风机的转速,其转速n、流量Q、压力(扬程)H、轴功率P的关系为:

从上式可以看出,流量与转速成正比,压力与转速的平方成正比,轴功率与转速的立方成正比,所以降低转速可以大幅度减少耗电量。风机的节电原理就是用调速装置来代替风门调节流量,减少节流损失,节约电能。风机是用来传送气体的机械设备,风机是把电动机的轴功率转变为机械能的一种机械,它们的启动力矩都较小,负载轻,具有很大节能潜力。
3 、改造方案:
加热炉鼓风机目前的控制方式主要根据加热炉助燃风量的需求,空气引风机、煤气引风机主要根据引风温度和炉膛温度通过调整阀门开度来实现。由于助燃鼓风机和引风机工艺较为简单,没有必要做闭环控制,改造方案考虑在采用变频器后保持进风阀全开,根据生产需要人工操作调节风机转速。系统可随时随意改变引风量,以适应的变化,保持风机的正常经济运行,达到稳定控制、方便操作、节约能源的目的。
此外,为了保证系统的可靠性,鼓风机引风机现有的控制设备和运行方式仍将保留,控制回路上设计工频/变频运行切换选择,工/变频选择由人工切换操作,实现助燃离心风机在工频或变频运行。因加热炉鼓风机为一用一备,变频改造采用一拖二变频控制方式,设置1#、2#风机手动切换功能。

主路电路图
为降低值班工人劳动强度,改造后助燃鼓风机、引风机的启/停、工/变切换、调速控制均采用集中和远程两地操作,沿用现有的PLC计算机控制系统,利用现有的PLC模块备用点,通过在燃控计算机控制系统修改程序增加鼓风机和引风机的调速操作功能和变频器输出频率、输出电流显示功能。
四、运行节电效果分析
以煤气引风机为例

图:运行中的变频器
五、应用变频器产生的其它效果
1、 维护量减少
采用变频调速后无论哪种工艺条件,随时可以通过调整转速使系统在接近额定状态下工作,由于启动缓慢及转速的降低相应地延长了许多零部件的寿命,同时极大地减轻了对管道的冲击,节约大量的维护费用。
2 、减少了对电网的冲击
采用变频器后系统实现软启动,电机启动电流远远小于额定电流,启动时间相应延长,对电网无冲击,减轻了起动机械转矩对电机机械损伤,有效地延长了电机的使用寿命。
3 、改善了工作环境
在满员了生产工艺要求下,通过降低了风机的转速降低了风机的燥声,特别是在加热炉换相时负载突变参生巨大燥音,通过变频器的电流限幅功能降低负载突变时风机的转速,风机燥声降低相当明显。大大改善了员工工作环境。
京公网安备 11011202001138号
