0 虚拟仪器技术与LabVIEW
是利用高性能的模块化硬件,结合高效灵活的软件完成各种测试、测量和自动化的应用。虚拟仪器技术具有性能高,扩展性强,开发时间少及出色的集成能力等优势。基于虚拟仪器技术可以开发适应不同应用场合的虚拟仪器测试方案,更好地组建自动化程度较高,数据处理分析能力较强的测试系统口。Lab- VIEW是一个具有革命性的图形化开发环境,内置信号采集、测量分析与数据显示功能,摒弃了传统开发工具的复杂性,在提供强大功能的同时,还保证了系统的灵活性;LabVIEW将广泛的数据采集、分析与显示功能集中在同一个环境中,可以在自己的平台上无缝地集成一套完整的应用方案Ⅲ。正因为具有如此巨大的优点,使它成为建立测试与测控系统的最佳选择。
1 应变测量原理
半导体应变片可用于应力测量和应力分析,以及作为各种传感器的力一电转换元件,它基于金属丝在受拉或受压后发生弹性形变,其电阻值也随之产生相应的变化这一物理特性实现的。
在金属丝变形的弹性范围内,电阻的相对变化△R/R与应变△L/L成正比,因而△R/R=K△L/L。其中,K为电阻应变片的灵敏系数。用应变片测量应变或应力时,是将应变片粘贴于被测对象上,在外力作用下,被测对象表面产生微小机械变形,粘贴在其表面上的应变片亦随其发生相同的变化,因此应变片的电阻也发生相应的变化。当压力F在一定范围内时,应变εx以一个常数正比于F。

式中:L为两孔中心距的50%;E为梁的弹性模量;b为梁的宽度;h为孔上下最薄处的厚度。
如图1所示,在双孔梁的上下两端面分别对应孔的顶端处贴上电阻应变片,将它们按图1(b)所示的方式组成全桥测量电路。这种桥式测量电路,可以灵敏地测量极微小的电阻变化。当弹性体受物体作用时,弹性体便产生弹性形变,粘在其表面的电阻应变片则随其同步变形,因而改变了它们的电阻值。由于电阻应变片组成的桥式电路是平衡的,而电阻应变片的电阻变化会引起电桥的不平衡,因而输出电压信号,该信号与梁端的受力F成正比。

当力F使单个应变片的电阻变化△R时,全桥测量电路的输出电压U0=U△R/R。应变测试过程如图2所示。

其中,信号调理电路包括信号放大和滤波,其作用是对信号进行必要的调理。如果选用NI公司具有信号调理模块的数据采集卡,则不必再另外设计信号调理电路。本文选用LabJack公司的U12数据采集卡作为数据采集设备,设计信号调理电路。
2 应变片选用——BP型半导体应变片
BP 型半导体应变片可用于应力测量和应力分析,并作为各种传感器的力-电转换元件。它们具有灵敏度高(比金属应变片大50~100倍左右),机械滞后小,体积小,耗电少等优点。其高的灵敏度使输出信号电平增大几十倍,所以不必采用放大器而直接用电压表或示波器等简单仪表就可以直接记录测量结果,因而使得测量仪表大为简化;再加上它的机械滞后小,可以测量静态应变、低频应变等,在许多新技术中,如火箭、导弹、飞机等制造工业及遥测系统中,半导体应变片具有独特的应用价值。
BP-6-120型半导体应变片技术参数:
硅丝尺寸为6mm×0.4 mm×0.05 mm;基底尺寸为10 mm x 6 mm;灵敏系数120;电阻温度系数小于0.2%;灵敏度温度系数小于0.16%;允许工作电流25 mA;允许最大应变2 000με;极限工作温度100℃。
3 信号滤波电路
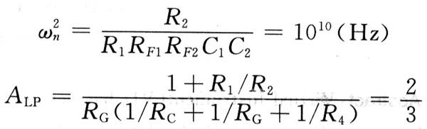
从应变片组成的电桥电路中出来的电压信号通常会伴随着噪声、振动等于扰,为了得到较为准确的低频应变信号,在将采集到的应变信号送到计算机之前,需要进行滤波处理。双二阶环滤波电路利用两个以上的加法器、积分器等组成的运算放大电路,根据要求的传递函数,引入适当的反馈,构成滤波电路。其突出特点是电路灵敏度低,特性非常稳定,并可实现多种滤波功能,这里使用低通滤波。具体电路如图3所示。

构成低频滤波器时,电路固有频率和通带增益如下:

4.1 电阻片的温度效应
电阻片由金属材料制成,它的阻值随着温度的变化也将产生变化。另外,由于试件和电阻材片的线性膨胀系数不同,从而会使电阻片的阻值发生变化。温度变化引起的电阻变化是客观存在的,但不希望在测量结果中反映出来。
4.2 温度补偿
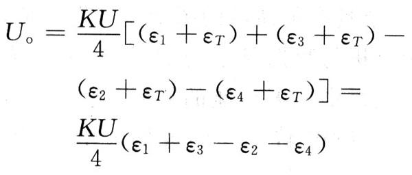
作为测量电桥的四个臂,当称重时受到负载F的作用后,R1,R2受拉伸阻值增加,R3,R4受压缩阻值下降,四个应变片组成差动电桥,输出特性的线性度好,并且还具有温度补偿作用。输出应变信号电压为:

式中:ε1,ε2,ε3,ε4分别为各桥臂应变片感受的应变量;εT为各应变片随温度变化所产生的应变量。
4.3 桥路预调零点
为测量方便起见,在试件变形前,要求电桥起始输出电压等于零,即U0=0。要挑选完全一样的电桥电阻是很困难的,可以采取在电桥上调零的措施来达到使其平衡的目的。这里采用并联电阻法,如图4所示。调整电位器Ra,使R3,R4上并联的电阻得到调整,以达到调零的作用。

5 测量系统硬件组成和软件设计
系统硬件部分主要包括双孔梁、BP-6-120型半导体应变片、全桥电路、通用PC机、数据采集卡、信号调理电路。利用NI公司的LabVIEW 8.0软件作为程序设计编译环境和工具。
本系统选用较简单的测量程序流程,如图5所示。

启动应用程序,输入相关测试参数和采样数据存放路径,点击“采集数据”开始,进行应变量的采集,点击处理数据,程序对所采样数据进行计算处理,得出在力F作用下的应变值。图6所示为双孔梁应变测量实验前面板。

基于LabVIEW图形化的编程方式直接简便,使得程序更加简洁,降低程序的开发难度,减少程序的开发时间。本软件设计主要完成应变信号数据的采集、管理、处理分析与结果输出等。程序设计框图如图7所示。

6 结 语
介绍在LabVIEW平台下设计应变测量系统的方法。LabVIEW在测试测量领域有着卓越的优势,是仪器开发领域的一个新的发展方向。该文给出了它的一个简单应用,实现了对应力应变信号的实时数据采集和检测。(源自百度空间)
京公网安备 11011202001138号
