一、概述
本系列产品采用光电隔离原理、单片机技术和专用厚膜集成电路,对电网或电路中电压信号的频率进行实时测量,将其变换为标准的0~5V直流电压信号(VZ)输出或4~20mA直流电流信号(IZ)输出。传感器输出可以直接与各型A/D配接,构成数据集中采集系统,也可以与传统的模拟式、数字式指示仪表配接,显示被测量之值。
二、产品特点
1. 体积小、精度高、频带宽、动态性能好;
2. 输入电路、输出电路完全隔离,输出信号可以共地;
3. 输出形式多样,满足各种使用要求;
4. 在(5~120)%标称输入范围内,输入与输出保持正比例关系;
5. 提供专用于电网频率测量的传感器,和可以测量100kHz以内的任意波频率传感器;
6. 稳定性好,耐冲击,过载能力强,可靠性高;
7. 度范围宽,提供商业级、工业级产品;
8. 结构形式多样,提供直插式、DIN卡装式安装方式,方便各种场合使用。
三、主要技术指标(以产品使用说明书为准)
1. 精度等级:0.2;
2. 线性范围: 10%~120%标称频率值;
3. 输入电压允许范围:50%~120%标称电压值;
4.响应时间:100mS;
5 负载能力: 直流电压输出≥5mA,
直流电流输出≥300Ω;
6. 静态电流: ≤25mA;
7. 辅助电源: +12V/+24V;
8. 隔离耐压: ≥1500V DC;
9. 环境温度:商业级:0℃~+50℃,
工业级:-25℃~+70℃;
10. 电压过载能力:
施加2倍标称输入电压,持续1s,间隔10s,重复10次不击穿;
11. 额定输入:
工频频率:45Hz~55Hz,40Hz~60Hz,
任意波频率:40Hz~100kHz,
电压:0~500V;
12. 输出标称值:
直流电压输出:0~5V,0~10V;
直流电流输出:0~20mA,4mA~20mA;
四 工作原理
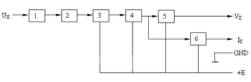
本系列传感器采用模块化结构, 主要由光电耦合器1、整形电路2、单片机3、D/A转换器4、定标放大器5和专用厚膜集成V/I转换器6组成。

交流电压信号经光电隔离电路1隔离,在其输出回路形成同频率的电压信号,该电压经整形电路2形成同频率脉冲波,输入到单片机3测量周期。单片机软件按f=1/T 计算出信号频率值(数字量),经D/A转换器4把代表被测信号频率的数字量转换为模拟量,再由定标放大器5进行放大、定标,形成直流电压VZ输出;D/A转换器4输出的模拟量经专用厚膜集成V/I变换器6后变成直流电流输出。
光电隔离电路从输入电压信号中取样,驱动发光二极管,把它变成脉动光信号,经过绝缘介质传递,再由光敏管恢复为交流电压输出,从而完成频率信号的隔离传送。
定标放大器5是一个直流线性放大器,是我公司配套开发的专用厚膜集成转换器,它把D/A转换器输出的直流电压放大到需要的幅度。
V/I转换器6的“基准端”接地时,它输出0~20mA直流电流;为它配加一个高稳定的偏置电路,就形成4mA~20mA直流电流输出。
五 传感器结构
本系列产品均采用便于现场使用的端子接线、U型结构卡装方式。当被测信号电压大于600V时,可以通过外接分压电阻把测量范围扩大到1500V。

六 传感器输入输出特性曲线

京公网安备 11011202001138号
