由于进给伺服系统采用伺服电机作为动力驱动元件,有伺服系统可以实现进给速度的自动无级调速,无须机械变速,所以,进给传动链大大缩短。对直线移动的执行部件,伺服电机通常只经一对传动副(齿轮、齿形同步皮带轮)或直接于丝杠(直线运动转换元件)连接。缩短传动链极大的提高了传动精度和刚度。尽管如此,为了保证进给伺服系统的传动性能要求,在机械传动结构设计时,除选较高精度的传动元件外,还必须在结构上减少和消除传动间隙。
一、电机与丝杠的连接结构
(1)齿轮传动
齿轮传动的作用:改变运动方向、降速、增大扭矩、适应不同丝杠螺距和不同脉冲当量的匹配。
齿轮传动有侧隙,造成反向运动死区,必须设法消除。
双齿轮错齿消隙结构:
对直齿轮:将一对齿轮中的大齿轮,分成两个齿轮,套装在一起,两个齿轮的同侧单面上分别均布安装四个带凸耳的螺钉,用弹簧(拉簧)将两螺钉连接起来,通过弹簧的拉力使两齿轮自然错开,这样,两个大齿轮在传动时分别与小齿轮的齿槽的两个侧面始终保持啮合,从而达到消除侧隙的目的。通过调整弹簧的拉力来满足传动扭矩的要求。
对斜齿轮:将一个斜齿轮分成两个薄齿轮,在两个薄齿轮之间加垫片,改变垫片的厚度,使两薄斜齿轮的螺旋线错位,分别与宽齿轮齿槽的两个侧面啮合,从而消除侧隙。侧隙消除量Δ与垫片增减量Δt的关系。可由下式计算:
Δt=Δctgβ
(2)同步(齿形)带传动
同步带传动是由一根内圆周表面设有等间距齿的封闭胶带和相应的带轮所组成的传动。传动时,同步带和带轮多齿啮合,具有齿轮传动,链传动和带传动的优点。无相对滑动,传动平稳,均匀,无啮合间隙。由于胶带中间有金属骨架,弹性伸长很小,具有较好的传动刚度。是一种好的无隙传动,所以,在伺服进给传动中得到应用。

(3)齿轮或带轮与轴的连接
当齿轮或带轮与轴的连接时,也需要消除传动间隙。
采用双键消除间隙:用紧定螺钉在键的侧面顶紧键,使键紧靠键槽,消除间隙,两个键分别传动不同旋转方向。
采用锥环副连接:锥环副由一个带内锥的圆环和一个带外锥的圆环配对组成。连接时,将若干(一般位2)副锥环副安放在轴和轮孔之间,外锥环的孔与轴、内锥环的外圆与轮孔小间隙配合。拧紧端盖螺钉,使端盖靠近轮的端面,端盖端面推动内锥环,使内、外锥环相互挤压,这时,外锥环内孔缩小,抱紧轴,内锥环外径胀大,胀紧孔,实现轴与轮的无键联结。
(4)联轴节
电机与丝杠直接联结时,使用联轴节。
套筒加锥销联结。弹性联轴节。
二、滚珠丝杠螺母副
(一)滚珠的循环方式
外循环:滚珠在循环过程中有时与丝杠脱离。制造工艺简单;径向尺寸大,刚度低,易磨损,噪音大。
内循环:滚珠在循环过程中始终与丝杠接触。结构紧凑,刚性好,定位可靠,不易磨损,摩擦损失小。结构复杂,制造困难。

(二)滚珠丝杠螺母副的预紧
滚珠丝杠螺母副必须预紧才能正常工作。预紧:消除滚珠与滚道的间隙,保证传动精度;使滚珠与滚道有点接触变成微小面接触,提高传动刚度。常采用双螺母,使两个螺母产生轴向位移,以消除间隙和施加预紧力。预紧常有三种结构:
1.螺纹消隙结构
一个螺母外断为法兰,另以螺母外端为螺纹,上装两个圆螺母,两螺母以平键与螺母座相联,限制螺母的转动。拧紧圆螺母,就能使两螺母在轴向产生位移,消除间隙和施加预紧力。结构简单,调整方便;调整精度差。
2.垫片消隙结构
两螺母外端都为法兰结构,通过修磨垫片的厚度,使两螺母产生轴向位移,消除间隙和施加预紧力。结构简单,刚性好,装拆方便;调整麻烦。

3.齿差调隙结构
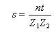
两个螺母的外端制成圆柱外齿轮,其齿数差为一。两个内齿圈用螺钉和销钉固定在螺母座上。预紧时,先取出内齿圈,使两个螺母分别在相同方向转过一个或几个齿,这时,两螺母在轴向产生相应的位移,其消隙位移距离s可用下式计算:
n----转过的齿数,t----丝杠导程。Z1,Z2----齿数。
(三)丝杠的预拉伸
滚珠丝杠工作时会发热。发热使丝杠热膨胀,从而加大导程,影响传动和定位精度。对要求很精密传动的丝杠,需要补偿热膨胀。丝杠预拉伸就使常用的补偿方法。
在制造时,使丝杠螺纹部分的长度小于公称长度(导程乘螺纹圈数)一个预拉伸量。预拉伸量略大于热膨胀量。装配时,通过一定拉伸结构,将丝杠拉长一个预拉伸量,使丝杠螺纹部分到公称长度。工作时,热膨胀量抵消部分预拉伸量,丝杠拉应力下降,但长度不变。从而保证螺距精度不受热膨胀的影响。
京公网安备 11011202001138号
